- page 50

40
การทางาน
อย่
างที่
ทราบกั
นว่
าปั
จจุ
บั
นการศึ
กษาภาคบั
งคั
บของ
ประเทศไทยอยู
ที่
ชั
นมั
ธยมศึ
กษาปี
ที่
3 ดั
งนั
นเด็
กและเยาวชน
ส่
วนหนึ่
งเมื่
อจบชั
นนี้แล้
วบางคนก็
อาจจะเรี
ยนต่
อ บางคนอาจ
ต้
องเริ่
มทางาน เมื่
อดู
ข้
อมู
ลสารวจภาวะการทางานของ
ประชากร ของสานั
กงานสถิติแห่งชาติ ที่
สารวจผู
้มี
งานทาที่
อายุ
15 ปี
ขึ้
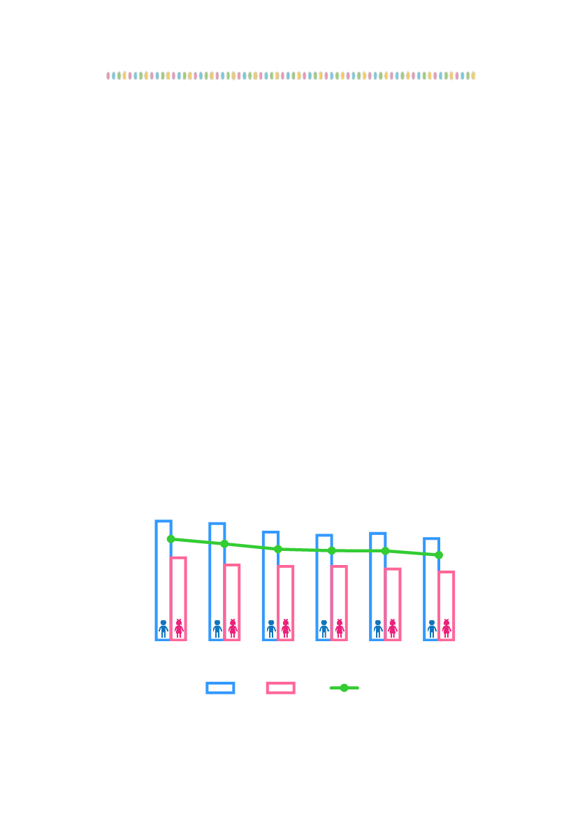
นไป พบว่
า เด็
กและเยาวชน (15-24 ปี
) ทางานลดลง
จากปี 2555 ที่
ทางานร้
อยละ 46.1 โดยลดลงเรื่
อยๆ จนปี 2560
มีเด็
กและเยาวชน (15-24 ปี
) ทางานร้อยละ 38.8 และสั
ดส่วน
ที่
ผู
้ชายจะทางานมากกว่าผู
หญิงมาโดยตลอด
แผนภู
มิ
22 เด็
กและเยาวชน (15-24 ปี) ที่
ทางาน จาแนกตามเพศ
54.3
53.1
49.3
47.8
48.7
46.3
37.5
34.3
33.6
33.6
32.5
31.1
46.1
43.9
41.5
40.8
40.7
38.8
0.0
20.0
40.0
60.0
2555 2556 2557 2558 2559
2560
ชาย
หญิ
รวม
ที่
มา : ประมวลผลจากข้อมู
ลการสารวจภาวะการทางานของประชากร
(ไตรมาส 3) พ.ศ. 2555–2560 สานั
กงานสถิติ
แห่
งชาติ
ร้
อยละ
ปี
1...,40,41,42,43,44,45,46,47,48,49 51,52,53,54,55,56,57,58,59,60,...204
Powered by FlippingBook